Mathematics 122

Section 007, Spring 1999

Calculus for Business Administration and Social Sciences

LeConte 412 MWF, 11:15 a.m. - 12:05 p.m.


Remark: The homework, quizes, workseheets, and tests are in pdf format and can be read with Adobe's Acrobat Reader which can down loaded here.
Tests:
#1 Results on Test 1
#2 Results on Test 2
#3 Results on Test 3
Final Results on the final
Homework:
#1
Prerequisites:
Qualification through placement, or a grade of C or better in math 111 or 115.
Instructor:
Ralph Howard
Text:
Brief Calculus by Hughes-Hallet, Gleason et.al..
Calculators:
The class demonstrations will be with the TI-83 and most of this should also apply to the TI-82. There are several types of calculators that will do all that is required for the class and you are welcome to use them. However for calculators other than the TI-83 and TI-82 I will not be able to help with the programming.
Grading:
There will be three midterms of 100 points each. Homework will be collected and will count for 150 points. The Final will count for 150 points. Finally there will be 20 points for class presentations (and people who go to the board regularly can get fairly substantial extra credit above this 20 points). This gives a total of 620 points and you grade will be based on the total out of the 620. In summary:
Three midterms @ 100 points each 300 points
Total for homework 150 points
Final 150 points
In class presentations 020 points
Total 620 points
Note that the homework counts as much as the final so it is important to spend time on the homework. Some homework many be ``collected'' in the form of in class quizzes. Letter grades will be assigned to all the tests. In general the curve on the midterms will be A~90--100, B~80--89, C~70--79, D~60--69, F~0--59, but this can vary. The last day to drop is February~18 and you should have a good idea of where you stand by then. The dates of the tests will be:
Test 1 Wednesday, February 10
Test 2 Friday, March 19
Test 3 Wednesday, April 21
Final Monday, May 3, 2:00 PM.
There will be not make up exams or quizzes:
If you miss a test, then your score on that exam is 75% of the average of your other test scores including the final. If a second exam is messed the score on it is zero. Exams will be taken in class on the days listed above. So don't ask to take an exam early or late because you have to be ``out of town'' or some other reason. Late homework will not be accepted. Likewise there will be not make up quizzes. If you miss a quiz then you lose the points. As a reward to anyone who turns on all the homework and takes all the quizzes will get 10 extra points. Missing only one homework or quiz is worth 5 extra points. On the other hand if someone leave class early without permission then I reserve the right to give them a zero on the homework for the day.
Sharing calculators on quizzes and tests is not allowed:
You should bring your calculator to every class meeting and especially to tests. If you do not bring it them you will not be allowed to share a calculator with someone else from the class on quizzes or tests and will thus lose the points on those questions that need a calculator.
Remarks on how the class will be run:
Unlike many classes not very much time in this class is going to be devoted to lecturing. Much of the class time will be spent in working problems often in small groups of 3 to 5 people. The problems will usual be directly from the homework. Also instead of just having the instructor give you the answer people from the class will present the answers at the board (this is the ``class presentation" part of the grade).
Getting Help:
Besides my office hours you can get help in the Math Lab. This is a free tutoring service supplied by the mathematics department. Starting this semester it will have three locations LeConte 101, Towers' Conference Center, and Bates Area. The hours that the math lab is open can be found here.
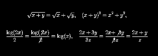
About partial credit and bad algebra:
Some arithmetic errors do not bother me much. If your get in a hurry and get 7x8=48 it is not going to cost you much, provided you are doing every thing else correctly. However, there are certain mistakes (all involving misuse of high school in such a way that always gives the wrong answer), that will not be tolerated. If you make these mistakes I will mark the entire problem wrong. Here are some examples of zero point errors:
This is not meant to scare you, but just to let you know where things stand.
Home