Mathematics 122

Section 007, Fall, 2001

Calculus for Business Administration and Social Sciences

LeConte 412 TTh, 9:30 a.m. - 10:45 a.m.

Instructor:
Ralph Howard
Prerequisites:
Qualification through placement, or a grade of C or better in math 111 or 115.
Text:
Applied Calculus by Hughes-Hallet, Gleason, Lock, Flath, et.al.
Calculators:
A calculator such as the TI-83 (preferred) or TI-82. There are several types of calculators that will do all that is required for the class and you are welcome to use them. However the class demonstrations with be with the TI-83 and for other types of calculators I may have trouble helping with the programming (but I will try to help).

Remark:
The homework, quizes, workseheets, tests, and syllabus are in pdf format and can be read with Adobe's Acrobat Reader which can down loaded here.
Tests:
There will be three midterms and a final. The midterms count for 100 points each and the final is 150 points. The dates of the tests are
Test 1 Thursday, September 20
Test 2 Thursday, October 21
Test 3 Thursday, November 29
Final Monday, December 10, 9:00a.m.
#1 Results on Test 1
#2 Results on Test 2
#3 Results on Test 3
Final
Homework and quizzes:
Homework will count for 100 points. Part of the homework grade will be in class quizzes. . Generally the quizzes will be announced on the previous class. Note that the homework counts as much as a test, so it is important that you do it.
Grading:
The there is a total of 550 points possible for the term broken down as follows:
Three midterms @ 100 points each 300 points
Total for homework and quizzes 100 points
Final 150 points
Total 550 points
Your grade will be based on the total out of 550. The last day to drop without a grade of WF is October 4 and you should have a good idea of where you stand by then.
There will be not make up exams or quizzes:
If you miss a test, then your score on that exam is 75% of the average of your other test scores including the final. If a second exam is messed the score on it is zero. Exams will be taken in class on the days listed above. So don't ask to take an exam early or late because you have to be ``out of town'' or some other reason. Late homework will not be accepted. Likewise there will be not make up quizzes. If you miss a quiz then you lose the points. As a reward to anyone who turns on all the homework and takes all the quizzes will get 10 extra points. Missing only one homework or quiz is worth 5 extra points. On the other hand if someone leave class early without permission then I reserve the right to give them a zero on the homework for the day.
Sharing calculators on quizzes and tests is not allowed:
You should bring your calculator to every class meeting and especially to tests. If you do not bring it them you will not be allowed to share a calculator with someone else from the class on quizzes or tests and will thus lose the points on those questions that need a calculator.
Getting Help:
Besides my office hours you can get help in the Math Lab. This is a free tutoring service supplied by the mathematics department. There are three locations LeConte 101, Towers' Conference Center, and Bates Area. The hours that the math lab is open can be found here.
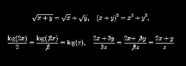
About partial credit and bad algebra:
Some arithmetic errors do not bother me much. If your get in a hurry and get 7x8=48 it is not going to cost you much, provided you are doing every thing else correctly. However, there are certain mistakes (all involving misuse of high school in such a way that always gives the wrong answer), that will not be tolerated. If you make these mistakes I will mark the entire problem wrong. Here are some examples of zero point errors:
This is not meant to scare you, but just to let you know where things stand.
Home